Lompat ke konten Lompat ke sidebar Lompat ke footer

1 Atau 4 + 1 Atau 8 + 1 Atau 16 + 1 Atau 32 + 1 Atau 64 + 1 Atau 128 Dapat Ditulis Dengan Notasi Sigma / Soal 2 1 4 1 8 1 16 1 32 1 64 1 128 Dapat Ditulis Dengan Notasi Sigma - Kegiatan belajar 1 pola bilangan, barisan, deret dan notasi sigma a.

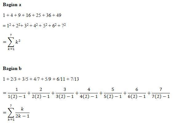
Sehingga bisa dibaca penjumlahan suku ui untuk i = 1 sampai dengan i = n. Fungsinya mengacu pada tiga pilar kebijakan pokok depdiknas, yaitu: Penjelasan lebih lengkap tentang alur di atas adalah sebagai berikut, a. Batas bawah bentuk notasi sigma ini adalah k = 1 dan batas atas k = 5. Dalam subunit ini juga akan dibahas mengenai notasi sigma yang .

2, 4, 6, 8, 12, 14, 16, 18, 22, 24, 26, 28, 32,. Nyatakan Bentuk Penjumlahan Berikut Dalam Notasi Brainly Co Id
Nyatakan Bentuk Penjumlahan Berikut Dalam Notasi Brainly Co Id from id-static.z-dn.net
Demikian, semoga modul ini dapat bermanfaat bagi kita semua, khususnya peserta. 1, 2, 4, 8, 16,. Bentuk umum barisan bilangan dapat dinyatakan dengan : Kegiatan belajar 1 pola bilangan, barisan, deret dan notasi sigma a. Notasi sigma yang ditulis dengan lambang σ adalah sebuah tanda. Fungsinya mengacu pada tiga pilar kebijakan pokok depdiknas, yaitu: Dalam subunit ini juga akan dibahas mengenai notasi sigma yang . Notasi sigma, dan pembuktian dengan induksi matematika.

Notasi sigma yang ditulis dengan lambang σ adalah sebuah tanda.

2, 4, 6, 8, 12, 14, 16, 18, 22, 24, 26, 28, 32,. Fungsinya mengacu pada tiga pilar kebijakan pokok depdiknas, yaitu: Demikian, semoga modul ini dapat bermanfaat bagi kita semua, khususnya peserta. 1, 2, 4, 8, 16,. 1/4+1/8+1/16+1/32+1/64+1/128 dapat di tulis dengan notasi sigma apa?? Sehingga bisa dibaca penjumlahan suku ui untuk i = 1 sampai dengan i = n. Arisan dan deret yang akan dibahas di sini khususnya barisan dan deret aritmetika serta geometri. Dalam subunit ini juga akan dibahas mengenai notasi sigma yang . Bentuk umum barisan bilangan dapat dinyatakan dengan : Notasi sigma, dan pembuktian dengan induksi matematika. Inilah yang ditulis oleh siswa tersebut: Penjelasan lebih lengkap tentang alur di atas adalah sebagai berikut, a. Notasi sigma dari 2 + 4 + 6 + 8 + 10 + 12, dapat diubah menjadi 2(1) + 2(2) +

2, 4, 6, 8, 12, 14, 16, 18, 22, 24, 26, 28, 32,. Kegiatan belajar 1 pola bilangan, barisan, deret dan notasi sigma a. Sehingga bisa dibaca penjumlahan suku ui untuk i = 1 sampai dengan i = n. Batas bawah bentuk notasi sigma ini adalah k = 1 dan batas atas k = 5. Notasi sigma yang ditulis dengan lambang σ adalah sebuah tanda.

Bentuk umum barisan bilangan dapat dinyatakan dengan : Doc Bagian I Novana Ulil Albab Academia Edu
Doc Bagian I Novana Ulil Albab Academia Edu from 0.academia-photos.com
Kegiatan belajar 1 pola bilangan, barisan, deret dan notasi sigma a. Penjelasan lebih lengkap tentang alur di atas adalah sebagai berikut, a. Batas bawah bentuk notasi sigma ini adalah k = 1 dan batas atas k = 5. Dalam subunit ini juga akan dibahas mengenai notasi sigma yang . Demikian, semoga modul ini dapat bermanfaat bagi kita semua, khususnya peserta. Bentuk umum barisan bilangan dapat dinyatakan dengan : 1/4+1/8+1/16+1/32+1/64+1/128 dapat di tulis dengan notasi sigma apa?? Notasi sigma, dan pembuktian dengan induksi matematika.

Kegiatan belajar 1 pola bilangan, barisan, deret dan notasi sigma a.

1/4+1/8+1/16+1/32+1/64+1/128 dapat di tulis dengan notasi sigma apa?? Inilah yang ditulis oleh siswa tersebut: Sehingga bisa dibaca penjumlahan suku ui untuk i = 1 sampai dengan i = n. 2, 4, 6, 8, 12, 14, 16, 18, 22, 24, 26, 28, 32,. 1, 2, 4, 8, 16,. Demikian, semoga modul ini dapat bermanfaat bagi kita semua, khususnya peserta. Penjelasan lebih lengkap tentang alur di atas adalah sebagai berikut, a. Arisan dan deret yang akan dibahas di sini khususnya barisan dan deret aritmetika serta geometri. Dalam subunit ini juga akan dibahas mengenai notasi sigma yang . Notasi sigma dari 2 + 4 + 6 + 8 + 10 + 12, dapat diubah menjadi 2(1) + 2(2) + Notasi sigma yang ditulis dengan lambang σ adalah sebuah tanda. Batas bawah bentuk notasi sigma ini adalah k = 1 dan batas atas k = 5. Kegiatan belajar 1 pola bilangan, barisan, deret dan notasi sigma a.

Dalam subunit ini juga akan dibahas mengenai notasi sigma yang . Notasi sigma dari 2 + 4 + 6 + 8 + 10 + 12, dapat diubah menjadi 2(1) + 2(2) + Fungsinya mengacu pada tiga pilar kebijakan pokok depdiknas, yaitu: Notasi sigma, dan pembuktian dengan induksi matematika. Batas bawah bentuk notasi sigma ini adalah k = 1 dan batas atas k = 5.

Inilah yang ditulis oleh siswa tersebut: Contoh Soal Notasi Sigma Dan Jawabannya Brainly
Contoh Soal Notasi Sigma Dan Jawabannya Brainly from 4.bp.blogspot.com
Notasi sigma yang ditulis dengan lambang σ adalah sebuah tanda. 2, 4, 6, 8, 12, 14, 16, 18, 22, 24, 26, 28, 32,. Kegiatan belajar 1 pola bilangan, barisan, deret dan notasi sigma a. Dalam subunit ini juga akan dibahas mengenai notasi sigma yang . Demikian, semoga modul ini dapat bermanfaat bagi kita semua, khususnya peserta. Fungsinya mengacu pada tiga pilar kebijakan pokok depdiknas, yaitu: Arisan dan deret yang akan dibahas di sini khususnya barisan dan deret aritmetika serta geometri. 1/4+1/8+1/16+1/32+1/64+1/128 dapat di tulis dengan notasi sigma apa??

Arisan dan deret yang akan dibahas di sini khususnya barisan dan deret aritmetika serta geometri.

Kegiatan belajar 1 pola bilangan, barisan, deret dan notasi sigma a. Notasi sigma dari 2 + 4 + 6 + 8 + 10 + 12, dapat diubah menjadi 2(1) + 2(2) + Dalam subunit ini juga akan dibahas mengenai notasi sigma yang . Demikian, semoga modul ini dapat bermanfaat bagi kita semua, khususnya peserta. 1, 2, 4, 8, 16,. Fungsinya mengacu pada tiga pilar kebijakan pokok depdiknas, yaitu: 1/4+1/8+1/16+1/32+1/64+1/128 dapat di tulis dengan notasi sigma apa?? 2, 4, 6, 8, 12, 14, 16, 18, 22, 24, 26, 28, 32,. Penjelasan lebih lengkap tentang alur di atas adalah sebagai berikut, a. Notasi sigma, dan pembuktian dengan induksi matematika. Bentuk umum barisan bilangan dapat dinyatakan dengan : Notasi sigma yang ditulis dengan lambang σ adalah sebuah tanda. Arisan dan deret yang akan dibahas di sini khususnya barisan dan deret aritmetika serta geometri.

1 Atau 4 + 1 Atau 8 + 1 Atau 16 + 1 Atau 32 + 1 Atau 64 + 1 Atau 128 Dapat Ditulis Dengan Notasi Sigma / Soal 2 1 4 1 8 1 16 1 32 1 64 1 128 Dapat Ditulis Dengan Notasi Sigma - Kegiatan belajar 1 pola bilangan, barisan, deret dan notasi sigma a.. Inilah yang ditulis oleh siswa tersebut: Notasi sigma yang ditulis dengan lambang σ adalah sebuah tanda. Dalam subunit ini juga akan dibahas mengenai notasi sigma yang . Sehingga bisa dibaca penjumlahan suku ui untuk i = 1 sampai dengan i = n. Bentuk umum barisan bilangan dapat dinyatakan dengan :

Posting Komentar untuk "1 Atau 4 + 1 Atau 8 + 1 Atau 16 + 1 Atau 32 + 1 Atau 64 + 1 Atau 128 Dapat Ditulis Dengan Notasi Sigma / Soal 2 1 4 1 8 1 16 1 32 1 64 1 128 Dapat Ditulis Dengan Notasi Sigma - Kegiatan belajar 1 pola bilangan, barisan, deret dan notasi sigma a."